Skip to content
周二. 4 月 21st, 2026
Trending News: A Coding Implementation on Qwen 3.6-35B-A3B Covering Multimodal Inference, Thinking Control, Tool Calling, MoE Routing, RAG, and Session PersistenceMoonshot AI Releases Kimi K2.6 with Long-Horizon Coding, Agent Swarm Scaling to 300 Sub-Agents and 4,000 Coordinated StepsA Coding Implementation on Microsoft’s Phi-4-Mini for Quantized Inference Reasoning Tool Use RAG and LoRA Fine-TuningOpenAI Scales Trusted Access for Cyber Defense With GPT-5.4-Cyber: a Fine-Tuned Model Built for Verified Security DefendersMoonshot AI and Tsinghua Researchers Propose PrfaaS: A Cross-Datacenter KVCache Architecture that Rethinks How LLMs are Served at ScaleMeet OpenMythos: An Open-Source PyTorch Reconstruction of Claude Mythos Where 770M Parameters Match a 1.3B TransformerHow TabPFN Leverages In-Context Learning to Achieve Superior Accuracy on Tabular Datasets Compared to Random Forest and CatBoostA Coding Implementation to Build an AI-Powered File Type Detection and Security Analysis Pipeline with Magika and OpenAINVIDIA Releases Ising: the First Open Quantum AI Model Family for Hybrid Quantum-Classical SystemsxAI Launches Standalone Grok Speech-to-Text and Text-to-Speech APIs, Targeting Enterprise Voice DevelopersA Coding Tutorial for Running PrismML Bonsai 1-Bit LLM on CUDA with GGUF, Benchmarking, Chat, JSON, and RAGA Coding Guide for Property-Based Testing Using Hypothesis with Stateful, Differential, and Metamorphic Test DesignAnthropic Releases Claude Opus 4.7: A Major Upgrade for Agentic Coding, High-Resolution Vision, and Long-Horizon Autonomous TasksGoogle AI Releases Auto-Diagnose: An Large Language Model LLM-Based System to Diagnose Integration Test Failures at ScaleA End-to-End Coding Guide to Running OpenAI GPT-OSS Open-Weight Models with Advanced Inference WorkflowsTop 19 AI Red Teaming Tools (2026): Secure Your ML ModelsA Coding Guide to Build a Production-Grade Background Task Processing System Using Huey with SQLite, Scheduling, Retries, Pipelines, and Concurrency Control7 ways to travel smarter this summer, with help from GoogleQwen Team Open-Sources Qwen3.6-35B-A3B: A Sparse MoE Vision-Language Model with 3B Active Parameters and Agentic Coding CapabilitiesOpenAI Launches GPT-Rosalind: Its First Life Sciences AI Model Built to Accelerate Drug Discovery and Genomics ResearchBuilding Transformer-Based NQS for Frustrated Spin Systems with NetKetA new way to explore the web with AI Mode in ChromeUCSD and Together AI Research Introduces Parcae: A Stable Architecture for Looped Language Models That Achieves the Quality of a Transformer Twice the SizeHow to Build a Universal Long-Term Memory Layer for AI Agents Using Mem0 and OpenAIA Coding Implementation to Build Multi-Agent AI Systems with SmolAgents Using Code Execution, Tool Calling, and Dynamic OrchestrationA Technical Deep Dive into the Essential Stages of Modern Large Language Model Training, Alignment, and DeploymentGoogle AI Launches Gemini 3.1 Flash TTS: A New Benchmark in Expressive and Controllable AI VoiceGoogle DeepMind Releases Gemini Robotics-ER 1.6: Bringing Enhanced Embodied Reasoning and Instrument Reading to Physical AIGoogle Launches ‘Skills’ in Chrome: Turning Reusable AI Prompts into One-Click Browser WorkflowsA Coding Implementation of Crawl4AI for Web Crawling, Markdown Generation, JavaScript Execution, and LLM-Based Structured ExtractionTinyFish AI Releases Full Web Infrastructure Platform for AI Agents: Search, Fetch, Browser, and Agent Under One API KeyTurn your best AI prompts into one-click tools in ChromeBringing people together at AI for the Economy ForumNVIDIA and the University of Maryland Researchers Released Audio Flamingo Next (AF-Next): A Super Powerful and Open Large Audio-Language ModelGoogle ADK Multi-Agent Pipeline Tutorial: Data Loading, Statistical Testing, Visualization, and Report Generation in PythonGoogle AI Research Proposes Vantage: An LLM-Based Protocol for Measuring Collaboration, Creativity, and Critical ThinkingAn Implementation Guide to Building a DuckDB-Python Analytics Pipeline with SQL, DataFrames, Parquet, UDFs, and Performance ProfilingMiniMax Releases MMX-CLI: A Command-Line Interface That Gives AI Agents Native Access to Image, Video, Speech, Music, Vision, and SearchA Hands-On Coding Tutorial for Microsoft VibeVoice Covering Speaker-Aware ASR, Real-Time TTS, and Speech-to-Speech PipelinesMeta AI and KAUST Researchers Propose Neural Computers That Fold Computation, Memory, and I/O Into One Learned ModelA Coding Implementation of MolmoAct for Depth-Aware Spatial Reasoning, Visual Trajectory Tracing, and Robotic Action PredictionMiniMax Just Open Sourced MiniMax M2.7: A Self-Evolving Agent Model that Scores 56.22% on SWE-Pro and 57.0% on Terminal Bench 2Liquid AI Releases LFM2.5-VL-450M: a 450M-Parameter Vision-Language Model with Bounding Box Prediction, Multilingual Support, and Sub-250ms Edge InferenceResearchers from MIT, NVIDIA, and Zhejiang University Propose TriAttention: A KV Cache Compression Method That Matches Full Attention at 2.5× Higher ThroughputHow to Build a Secure Local-First Agent Runtime with OpenClaw Gateway, Skills, and Controlled Tool ExecutionHow Knowledge Distillation Compresses Ensemble Intelligence into a Single Deployable AI ModelAlibaba’s Tongyi Lab Releases VimRAG: a Multimodal RAG Framework that Uses a Memory Graph to Navigate Massive Visual ContextsA Coding Guide to Markerless 3D Human Kinematics with Pose2Sim, RTMPose, and OpenSimNVIDIA Releases AITune: An Open-Source Inference Toolkit That Automatically Finds the Fastest Inference Backend for Any PyTorch ModelFive AI Compute Architectures Every Engineer Should Know: CPUs, GPUs, TPUs, NPUs, and LPUs ComparedAn End-to-End Coding Guide to NVIDIA KVPress for Long-Context LLM Inference, KV Cache Compression, and Memory-Efficient GenerationMeta Superintelligence Lab Releases Muse Spark: A Multimodal Reasoning Model With Thought Compression and Parallel Agents#495 – Vikings, Ragnar, Berserkers, Valhalla & the Warriors of the Viking AgeSigmoid vs ReLU Activation Functions: The Inference Cost of Losing Geometric ContextA Coding Guide to Build Advanced Document Intelligence Pipelines with Google LangExtract, OpenAI Models, Structured Extraction, and Interactive VisualizationGoogle AI Research Introduces PaperOrchestra: A Multi-Agent Framework for Automated AI Research Paper WritingA Comprehensive Implementation Guide to ModelScope for Model Search, Inference, Fine-Tuning, Evaluation, and ExportMeet OSGym: A New OS Infrastructure Framework That Manages 1,000+ Replicas at $0.23/Day for Computer Use Agent ResearchZ.AI Introduces GLM-5.1: An Open-Weight 754B Agentic Model That Achieves SOTA on SWE-Bench Pro and Sustains 8-Hour Autonomous ExecutionHow to Combine Google Search, Google Maps, and Custom Functions in a Single Gemini API Call With Context Circulation, Parallel Tool IDs, and Multi-Step Agentic ChainsHow to Deploy Open WebUI with Secure OpenAI API Integration, Public Tunneling, and Browser-Based Chat AccessMeta AI Releases EUPE: A Compact Vision Encoder Family Under 100M Parameters That Rivals Specialist Models Across Image Understanding, Dense Prediction, and VLM TasksAn Implementation Guide to Running NVIDIA Transformer Engine with Mixed Precision, FP8 Checks, Benchmarking, and Fallback ExecutionRightNow AI Releases AutoKernel: An Open-Source Framework that Applies an Autonomous Agent Loop to GPU Kernel Optimization for Arbitrary PyTorch ModelsMeet MaxToki: The AI That Predicts How Your Cells Age — and What to Do About ItHow to Build a Netflix VOID Video Object Removal and Inpainting Pipeline with CogVideoX, Custom Prompting, and End-to-End Sample InferenceMeet ‘AutoAgent’: The Open-Source Library That Lets an AI Engineer and Optimize Its Own Agent Harness OvernightInside the Creative Artificial Intelligence (AI) Stack: Where Human Vision and Artificial Intelligence Meet to Design Future FashionNetflix AI Team Just Open-Sourced VOID: an AI Model That Erases Objects From Videos — Physics and AllHow to Build Production-Ready Agentic Systems with Z.AI GLM-5 Using Thinking Mode, Tool Calling, Streaming, and Multi-Turn WorkflowsGoogle DeepMind’s Research Lets an LLM Rewrite Its Own Game Theory Algorithms — And It Outperformed the ExpertsTII Releases Falcon Perception: A 0.6B-Parameter Early-Fusion Transformer for Open-Vocabulary Grounding and Segmentation from Natural Language PromptsStep by Step Guide to Build an End-to-End Model Optimization Pipeline with NVIDIA Model Optimizer Using FastNAS Pruning and Fine-TuningArcee AI Releases Trinity Large Thinking: An Apache 2.0 Open Reasoning Model for Long-Horizon Agents and Tool UseDefeating the ‘Token Tax’: How Google Gemma 4, NVIDIA, and OpenClaw are Revolutionizing Local Agentic AI: From RTX Desktops to DGX SparkNew ways to balance cost and reliability in the Gemini APICreate, edit and share videos at no cost in Google VidsIBM Releases Granite 4.0 3B Vision: A New Vision Language Model for Enterprise Grade Document Data ExtractionHow to Build Production Ready AgentScope Workflows with ReAct Agents, Custom Tools, Multi-Agent Debate, Structured Output and Concurrent PipelinesZ.ai Launches GLM-5V-Turbo: A Native Multimodal Vision Coding Model Optimized for OpenClaw and High-Capacity Agentic Engineering Workflows EverywhereWe’re creating a new satellite imagery map to help protect Brazil’s forests.The latest AI news we announced in March 2026Hugging Face Releases TRL v1.0: A Unified Post-Training Stack for SFT, Reward Modeling, DPO, and GRPO WorkflowsGoogle AI Releases Veo 3.1 Lite: Giving Developers Low Cost High Speed Video Generation via The Gemini APILiquid AI Released LFM2.5-350M: A Compact 350M Parameter Model Trained on 28T Tokens with Scaled Reinforcement LearningAlibaba Qwen Team Releases Qwen3.5 Omni: A Native Multimodal Model for Text, Audio, Video, and Realtime InteractionMicrosoft AI Releases Harrier-OSS-v1: A New Family of Multilingual Embedding Models Hitting SOTA on Multilingual MTEB v2Salesforce AI Research Releases VoiceAgentRAG: A Dual-Agent Memory Router that Cuts Voice RAG Retrieval Latency by 316xAgent-Infra Releases AIO Sandbox: An All-in-One Runtime for AI Agents with Browser, Shell, Shared Filesystem, and MCPHow to Build Advanced Cybersecurity AI Agents with CAI Using Tools, Guardrails, Handoffs, and Multi-Agent WorkflowsMeet A-Evolve: The PyTorch Moment For Agentic AI Systems Replacing Manual Tuning With Automated State Mutation And Self-CorrectionChroma Releases Context-1: A 20B Agentic Search Model for Multi-Hop Retrieval, Context Management, and Scalable Synthetic Task GenerationGoogle-Agent vs Googlebot: Google Defines the Technical Boundary Between User Triggered AI Access and Search Crawling Systems TodayA Coding Guide to Exploring nanobot’s Full Agent Pipeline, from Wiring Up Tools and Memory to Skills, Subagents, and Cron SchedulingMistral AI Releases Voxtral TTS: A 4B Open-Weight Streaming Speech Model for Low-Latency Multilingual Voice GenerationNVIDIA AI Unveils ProRL Agent: A Decoupled Rollout-as-a-Service Infrastructure for Reinforcement Learning of Multi-Turn LLM Agents at ScaleAn Implementation of IWE’s Context Bridge as an AI-Powered Knowledge Graph with Agentic RAG, OpenAI Function Calling, and Graph TraversalNot Just Understanding, But Evolving: The All-New Self-Evolving JiuwenClaw Makes Its DebutMeta Releases TRIBE v2: A Brain Encoding Model That Predicts fMRI Responses Across Video, Audio, and Text StimuliGoogle Releases Gemini 3.1 Flash Live: A Real-Time Multimodal Voice Model for Low-Latency Audio, Video, and Tool Use for AI Agents
Chicago 12, Melborne City, USA

AI日报汇

  • Get Started
  • AI日报汇
  • 示例页面
周二. 4 月 21st, 2026
Trending News: A Coding Implementation on Qwen 3.6-35B-A3B Covering Multimodal Inference, Thinking Control, Tool Calling, MoE Routing, RAG, and Session PersistenceMoonshot AI Releases Kimi K2.6 with Long-Horizon Coding, Agent Swarm Scaling to 300 Sub-Agents and 4,000 Coordinated StepsA Coding Implementation on Microsoft’s Phi-4-Mini for Quantized Inference Reasoning Tool Use RAG and LoRA Fine-TuningOpenAI Scales Trusted Access for Cyber Defense With GPT-5.4-Cyber: a Fine-Tuned Model Built for Verified Security DefendersMoonshot AI and Tsinghua Researchers Propose PrfaaS: A Cross-Datacenter KVCache Architecture that Rethinks How LLMs are Served at ScaleMeet OpenMythos: An Open-Source PyTorch Reconstruction of Claude Mythos Where 770M Parameters Match a 1.3B TransformerHow TabPFN Leverages In-Context Learning to Achieve Superior Accuracy on Tabular Datasets Compared to Random Forest and CatBoostA Coding Implementation to Build an AI-Powered File Type Detection and Security Analysis Pipeline with Magika and OpenAINVIDIA Releases Ising: the First Open Quantum AI Model Family for Hybrid Quantum-Classical SystemsxAI Launches Standalone Grok Speech-to-Text and Text-to-Speech APIs, Targeting Enterprise Voice DevelopersA Coding Tutorial for Running PrismML Bonsai 1-Bit LLM on CUDA with GGUF, Benchmarking, Chat, JSON, and RAGA Coding Guide for Property-Based Testing Using Hypothesis with Stateful, Differential, and Metamorphic Test DesignAnthropic Releases Claude Opus 4.7: A Major Upgrade for Agentic Coding, High-Resolution Vision, and Long-Horizon Autonomous TasksGoogle AI Releases Auto-Diagnose: An Large Language Model LLM-Based System to Diagnose Integration Test Failures at ScaleA End-to-End Coding Guide to Running OpenAI GPT-OSS Open-Weight Models with Advanced Inference WorkflowsTop 19 AI Red Teaming Tools (2026): Secure Your ML ModelsA Coding Guide to Build a Production-Grade Background Task Processing System Using Huey with SQLite, Scheduling, Retries, Pipelines, and Concurrency Control7 ways to travel smarter this summer, with help from GoogleQwen Team Open-Sources Qwen3.6-35B-A3B: A Sparse MoE Vision-Language Model with 3B Active Parameters and Agentic Coding CapabilitiesOpenAI Launches GPT-Rosalind: Its First Life Sciences AI Model Built to Accelerate Drug Discovery and Genomics ResearchBuilding Transformer-Based NQS for Frustrated Spin Systems with NetKetA new way to explore the web with AI Mode in ChromeUCSD and Together AI Research Introduces Parcae: A Stable Architecture for Looped Language Models That Achieves the Quality of a Transformer Twice the SizeHow to Build a Universal Long-Term Memory Layer for AI Agents Using Mem0 and OpenAIA Coding Implementation to Build Multi-Agent AI Systems with SmolAgents Using Code Execution, Tool Calling, and Dynamic OrchestrationA Technical Deep Dive into the Essential Stages of Modern Large Language Model Training, Alignment, and DeploymentGoogle AI Launches Gemini 3.1 Flash TTS: A New Benchmark in Expressive and Controllable AI VoiceGoogle DeepMind Releases Gemini Robotics-ER 1.6: Bringing Enhanced Embodied Reasoning and Instrument Reading to Physical AIGoogle Launches ‘Skills’ in Chrome: Turning Reusable AI Prompts into One-Click Browser WorkflowsA Coding Implementation of Crawl4AI for Web Crawling, Markdown Generation, JavaScript Execution, and LLM-Based Structured ExtractionTinyFish AI Releases Full Web Infrastructure Platform for AI Agents: Search, Fetch, Browser, and Agent Under One API KeyTurn your best AI prompts into one-click tools in ChromeBringing people together at AI for the Economy ForumNVIDIA and the University of Maryland Researchers Released Audio Flamingo Next (AF-Next): A Super Powerful and Open Large Audio-Language ModelGoogle ADK Multi-Agent Pipeline Tutorial: Data Loading, Statistical Testing, Visualization, and Report Generation in PythonGoogle AI Research Proposes Vantage: An LLM-Based Protocol for Measuring Collaboration, Creativity, and Critical ThinkingAn Implementation Guide to Building a DuckDB-Python Analytics Pipeline with SQL, DataFrames, Parquet, UDFs, and Performance ProfilingMiniMax Releases MMX-CLI: A Command-Line Interface That Gives AI Agents Native Access to Image, Video, Speech, Music, Vision, and SearchA Hands-On Coding Tutorial for Microsoft VibeVoice Covering Speaker-Aware ASR, Real-Time TTS, and Speech-to-Speech PipelinesMeta AI and KAUST Researchers Propose Neural Computers That Fold Computation, Memory, and I/O Into One Learned ModelA Coding Implementation of MolmoAct for Depth-Aware Spatial Reasoning, Visual Trajectory Tracing, and Robotic Action PredictionMiniMax Just Open Sourced MiniMax M2.7: A Self-Evolving Agent Model that Scores 56.22% on SWE-Pro and 57.0% on Terminal Bench 2Liquid AI Releases LFM2.5-VL-450M: a 450M-Parameter Vision-Language Model with Bounding Box Prediction, Multilingual Support, and Sub-250ms Edge InferenceResearchers from MIT, NVIDIA, and Zhejiang University Propose TriAttention: A KV Cache Compression Method That Matches Full Attention at 2.5× Higher ThroughputHow to Build a Secure Local-First Agent Runtime with OpenClaw Gateway, Skills, and Controlled Tool ExecutionHow Knowledge Distillation Compresses Ensemble Intelligence into a Single Deployable AI ModelAlibaba’s Tongyi Lab Releases VimRAG: a Multimodal RAG Framework that Uses a Memory Graph to Navigate Massive Visual ContextsA Coding Guide to Markerless 3D Human Kinematics with Pose2Sim, RTMPose, and OpenSimNVIDIA Releases AITune: An Open-Source Inference Toolkit That Automatically Finds the Fastest Inference Backend for Any PyTorch ModelFive AI Compute Architectures Every Engineer Should Know: CPUs, GPUs, TPUs, NPUs, and LPUs ComparedAn End-to-End Coding Guide to NVIDIA KVPress for Long-Context LLM Inference, KV Cache Compression, and Memory-Efficient GenerationMeta Superintelligence Lab Releases Muse Spark: A Multimodal Reasoning Model With Thought Compression and Parallel Agents#495 – Vikings, Ragnar, Berserkers, Valhalla & the Warriors of the Viking AgeSigmoid vs ReLU Activation Functions: The Inference Cost of Losing Geometric ContextA Coding Guide to Build Advanced Document Intelligence Pipelines with Google LangExtract, OpenAI Models, Structured Extraction, and Interactive VisualizationGoogle AI Research Introduces PaperOrchestra: A Multi-Agent Framework for Automated AI Research Paper WritingA Comprehensive Implementation Guide to ModelScope for Model Search, Inference, Fine-Tuning, Evaluation, and ExportMeet OSGym: A New OS Infrastructure Framework That Manages 1,000+ Replicas at $0.23/Day for Computer Use Agent ResearchZ.AI Introduces GLM-5.1: An Open-Weight 754B Agentic Model That Achieves SOTA on SWE-Bench Pro and Sustains 8-Hour Autonomous ExecutionHow to Combine Google Search, Google Maps, and Custom Functions in a Single Gemini API Call With Context Circulation, Parallel Tool IDs, and Multi-Step Agentic ChainsHow to Deploy Open WebUI with Secure OpenAI API Integration, Public Tunneling, and Browser-Based Chat AccessMeta AI Releases EUPE: A Compact Vision Encoder Family Under 100M Parameters That Rivals Specialist Models Across Image Understanding, Dense Prediction, and VLM TasksAn Implementation Guide to Running NVIDIA Transformer Engine with Mixed Precision, FP8 Checks, Benchmarking, and Fallback ExecutionRightNow AI Releases AutoKernel: An Open-Source Framework that Applies an Autonomous Agent Loop to GPU Kernel Optimization for Arbitrary PyTorch ModelsMeet MaxToki: The AI That Predicts How Your Cells Age — and What to Do About ItHow to Build a Netflix VOID Video Object Removal and Inpainting Pipeline with CogVideoX, Custom Prompting, and End-to-End Sample InferenceMeet ‘AutoAgent’: The Open-Source Library That Lets an AI Engineer and Optimize Its Own Agent Harness OvernightInside the Creative Artificial Intelligence (AI) Stack: Where Human Vision and Artificial Intelligence Meet to Design Future FashionNetflix AI Team Just Open-Sourced VOID: an AI Model That Erases Objects From Videos — Physics and AllHow to Build Production-Ready Agentic Systems with Z.AI GLM-5 Using Thinking Mode, Tool Calling, Streaming, and Multi-Turn WorkflowsGoogle DeepMind’s Research Lets an LLM Rewrite Its Own Game Theory Algorithms — And It Outperformed the ExpertsTII Releases Falcon Perception: A 0.6B-Parameter Early-Fusion Transformer for Open-Vocabulary Grounding and Segmentation from Natural Language PromptsStep by Step Guide to Build an End-to-End Model Optimization Pipeline with NVIDIA Model Optimizer Using FastNAS Pruning and Fine-TuningArcee AI Releases Trinity Large Thinking: An Apache 2.0 Open Reasoning Model for Long-Horizon Agents and Tool UseDefeating the ‘Token Tax’: How Google Gemma 4, NVIDIA, and OpenClaw are Revolutionizing Local Agentic AI: From RTX Desktops to DGX SparkNew ways to balance cost and reliability in the Gemini APICreate, edit and share videos at no cost in Google VidsIBM Releases Granite 4.0 3B Vision: A New Vision Language Model for Enterprise Grade Document Data ExtractionHow to Build Production Ready AgentScope Workflows with ReAct Agents, Custom Tools, Multi-Agent Debate, Structured Output and Concurrent PipelinesZ.ai Launches GLM-5V-Turbo: A Native Multimodal Vision Coding Model Optimized for OpenClaw and High-Capacity Agentic Engineering Workflows EverywhereWe’re creating a new satellite imagery map to help protect Brazil’s forests.The latest AI news we announced in March 2026Hugging Face Releases TRL v1.0: A Unified Post-Training Stack for SFT, Reward Modeling, DPO, and GRPO WorkflowsGoogle AI Releases Veo 3.1 Lite: Giving Developers Low Cost High Speed Video Generation via The Gemini APILiquid AI Released LFM2.5-350M: A Compact 350M Parameter Model Trained on 28T Tokens with Scaled Reinforcement LearningAlibaba Qwen Team Releases Qwen3.5 Omni: A Native Multimodal Model for Text, Audio, Video, and Realtime InteractionMicrosoft AI Releases Harrier-OSS-v1: A New Family of Multilingual Embedding Models Hitting SOTA on Multilingual MTEB v2Salesforce AI Research Releases VoiceAgentRAG: A Dual-Agent Memory Router that Cuts Voice RAG Retrieval Latency by 316xAgent-Infra Releases AIO Sandbox: An All-in-One Runtime for AI Agents with Browser, Shell, Shared Filesystem, and MCPHow to Build Advanced Cybersecurity AI Agents with CAI Using Tools, Guardrails, Handoffs, and Multi-Agent WorkflowsMeet A-Evolve: The PyTorch Moment For Agentic AI Systems Replacing Manual Tuning With Automated State Mutation And Self-CorrectionChroma Releases Context-1: A 20B Agentic Search Model for Multi-Hop Retrieval, Context Management, and Scalable Synthetic Task GenerationGoogle-Agent vs Googlebot: Google Defines the Technical Boundary Between User Triggered AI Access and Search Crawling Systems TodayA Coding Guide to Exploring nanobot’s Full Agent Pipeline, from Wiring Up Tools and Memory to Skills, Subagents, and Cron SchedulingMistral AI Releases Voxtral TTS: A 4B Open-Weight Streaming Speech Model for Low-Latency Multilingual Voice GenerationNVIDIA AI Unveils ProRL Agent: A Decoupled Rollout-as-a-Service Infrastructure for Reinforcement Learning of Multi-Turn LLM Agents at ScaleAn Implementation of IWE’s Context Bridge as an AI-Powered Knowledge Graph with Agentic RAG, OpenAI Function Calling, and Graph TraversalNot Just Understanding, But Evolving: The All-New Self-Evolving JiuwenClaw Makes Its DebutMeta Releases TRIBE v2: A Brain Encoding Model That Predicts fMRI Responses Across Video, Audio, and Text StimuliGoogle Releases Gemini 3.1 Flash Live: A Real-Time Multimodal Voice Model for Low-Latency Audio, Video, and Tool Use for AI Agents
Chicago 12, Melborne City, USA
  • AI日报汇
  • 示例页面

AI日报汇

  • Get Started

Archives 1 月 2026

  1. Home
  2. 2026
  3. 1 月
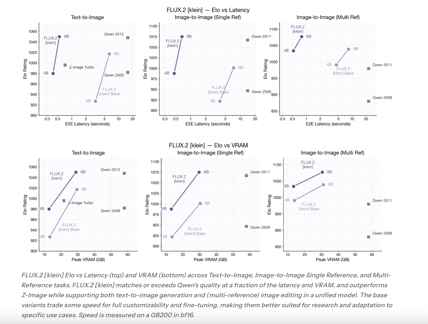
Black Forest Labs Releases FLUX.2 [klein]: Compact Flow Models for Interactive Visual Intelligence
  • adminadmin
  • 17 1 月, 2026
  • 0 Comments
Black Forest Labs Releases FLUX.2 [klein]: Compact Flow Models for Interactive Visual Intelligence

Black Forest Labs releases FLU…

Continue reading
Listen Labs raises $69M after viral billboard hiring stunt to scale AI customer interviews
  • adminadmin
  • 16 1 月, 2026
  • 0 Comments
Listen Labs raises $69M after viral billboard hiring stunt to scale AI customer interviews

Alfred Wahlforss was running o…

Continue reading
How to Build a Safe, Autonomous Prior Authorization Agent for Healthcare Revenue Cycle Management with Human-in-the-Loop Controls
  • adminadmin
  • 16 1 月, 2026
  • 0 Comments
How to Build a Safe, Autonomous Prior Authorization Agent for Healthcare Revenue Cycle Management with Human-in-the-Loop Controls

In this tutorial, we demonstra…

Continue reading
Google AI Releases TranslateGemma: A New Family of Open Translation Models Built on Gemma 3 with Support for 55 Languages
  • adminadmin
  • 16 1 月, 2026
  • 0 Comments
Google AI Releases TranslateGemma: A New Family of Open Translation Models Built on Gemma 3 with Support for 55 Languages

Google AI has released Transla…

Continue reading
NVIDIA AI Open-Sourced KVzap: A SOTA KV Cache Pruning Method that Delivers near-Lossless 2x-4x Compression
  • adminadmin
  • 16 1 月, 2026
  • 0 Comments
NVIDIA AI Open-Sourced KVzap: A SOTA KV Cache Pruning Method that Delivers near-Lossless 2x-4x Compression

As context lengths move into t…

Continue reading
How Nano Banana got its name
  • adminadmin
  • 16 1 月, 2026
  • 0 Comments
How Nano Banana got its name

We’re peeling back the origin …

Continue reading
Learners and educators are AI’s new “super users”
  • adminadmin
  • 15 1 月, 2026
  • 0 Comments
Learners and educators are AI’s new “super users”

Google’s 2025 Our Life with AI…

Continue reading
DeepSeek AI Researchers Introduce Engram: A Conditional Memory Axis For Sparse LLMs
  • adminadmin
  • 15 1 月, 2026
  • 0 Comments
DeepSeek AI Researchers Introduce Engram: A Conditional Memory Axis For Sparse LLMs

Transformers use attention and…

Continue reading
How to Build a Stateless, Secure, and Asynchronous MCP-Style Protocol for Scalable Agent Workflows
  • adminadmin
  • 15 1 月, 2026
  • 0 Comments
How to Build a Stateless, Secure, and Asynchronous MCP-Style Protocol for Scalable Agent Workflows

In this tutorial, we build a c…

Continue reading
Introducing Community Benchmarks on Kaggle
  • adminadmin
  • 14 1 月, 2026
  • 0 Comments
Introducing Community Benchmarks on Kaggle

Community Benchmarks on Kaggle…

Continue reading
Announcing the winner of the Global AI Film Award
  • adminadmin
  • 14 1 月, 2026
  • 0 Comments
Announcing the winner of the Global AI Film Award

Over the past year, we’ve witn…

Continue reading
Google AI Releases MedGemma-1.5: The Latest Update to their Open Medical AI Models for Developers
  • adminadmin
  • 14 1 月, 2026
  • 0 Comments
Google AI Releases MedGemma-1.5: The Latest Update to their Open Medical AI Models for Developers

Google Research has expanded i…

Continue reading
#489 – Paul Rosolie: Uncontacted Tribes in the Amazon Jungle
  • adminadmin
  • 14 1 月, 2026
  • 0 Comments
#489 – Paul Rosolie: Uncontacted Tribes in the Amazon Jungle

Paul Rosolie is a naturalist, …

Continue reading
Veo 3.1 Ingredients to Video: More consistency, creativity and control
  • adminadmin
  • 14 1 月, 2026
  • 0 Comments
Veo 3.1 Ingredients to Video: More consistency, creativity and control

Today, we’re introducing an en…

Continue reading
Salesforce rolls out new Slackbot AI agent as it battles Microsoft and Google in workplace AI
  • adminadmin
  • 13 1 月, 2026
  • 0 Comments
Salesforce rolls out new Slackbot AI agent as it battles Microsoft and Google in workplace AI

Salesforce on Tuesday launched…

Continue reading

文章分页

1 … 3 4 5 6

近期文章

  • A Coding Implementation on Qwen 3.6-35B-A3B Covering Multimodal Inference, Thinking Control, Tool Calling, MoE Routing, RAG, and Session Persistence
  • Moonshot AI Releases Kimi K2.6 with Long-Horizon Coding, Agent Swarm Scaling to 300 Sub-Agents and 4,000 Coordinated Steps
  • A Coding Implementation on Microsoft’s Phi-4-Mini for Quantized Inference Reasoning Tool Use RAG and LoRA Fine-Tuning
  • OpenAI Scales Trusted Access for Cyber Defense With GPT-5.4-Cyber: a Fine-Tuned Model Built for Verified Security Defenders
  • Moonshot AI and Tsinghua Researchers Propose PrfaaS: A Cross-Datacenter KVCache Architecture that Rethinks How LLMs are Served at Scale

近期评论

您尚未收到任何评论。

归档

  • 2026 年 4 月
  • 2026 年 3 月
  • 2026 年 2 月
  • 2026 年 1 月
  • 2025 年 12 月

分类

  • AI relative

Other Story

AI relative

A Coding Implementation on Qwen 3.6-35B-A3B Covering Multimodal Inference, Thinking Control, Tool Calling, MoE Routing, RAG, and Session Persistence

  • admin
  • 21 4 月, 2026
A Coding Implementation on Qwen 3.6-35B-A3B Covering Multimodal Inference, Thinking Control, Tool Calling, MoE Routing, RAG, and Session Persistence
AI relative

Moonshot AI Releases Kimi K2.6 with Long-Horizon Coding, Agent Swarm Scaling to 300 Sub-Agents and 4,000 Coordinated Steps

  • admin
  • 21 4 月, 2026
Moonshot AI Releases Kimi K2.6 with Long-Horizon Coding, Agent Swarm Scaling to 300 Sub-Agents and 4,000 Coordinated Steps
AI relative

A Coding Implementation on Microsoft’s Phi-4-Mini for Quantized Inference Reasoning Tool Use RAG and LoRA Fine-Tuning

  • admin
  • 21 4 月, 2026
A Coding Implementation on Microsoft’s Phi-4-Mini for Quantized Inference Reasoning Tool Use RAG and LoRA Fine-Tuning
AI relative

OpenAI Scales Trusted Access for Cyber Defense With GPT-5.4-Cyber: a Fine-Tuned Model Built for Verified Security Defenders

  • admin
  • 20 4 月, 2026
OpenAI Scales Trusted Access for Cyber Defense With GPT-5.4-Cyber: a Fine-Tuned Model Built for Verified Security Defenders
AI relative

Moonshot AI and Tsinghua Researchers Propose PrfaaS: A Cross-Datacenter KVCache Architecture that Rethinks How LLMs are Served at Scale

  • admin
  • 20 4 月, 2026
Moonshot AI and Tsinghua Researchers Propose PrfaaS: A Cross-Datacenter KVCache Architecture that Rethinks How LLMs are Served at Scale
AI relative

Meet OpenMythos: An Open-Source PyTorch Reconstruction of Claude Mythos Where 770M Parameters Match a 1.3B Transformer

  • admin
  • 20 4 月, 2026
Meet OpenMythos: An Open-Source PyTorch Reconstruction of Claude Mythos Where 770M Parameters Match a 1.3B Transformer
Copyright © 2026 AI日报汇 | Powered by Desert Themes
Back to Top